Ekonomi

95 parça köy arazisi satılıyor!

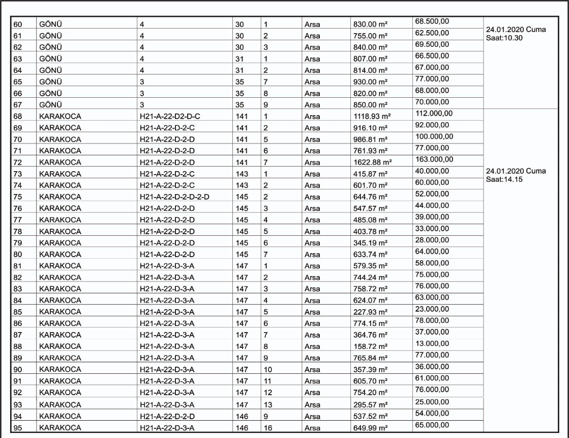
Karacabey Belediye Meclisi, 2019 yılının son toplantısında ilçenin kırsal mahallelerinde bulunan ve 105 parçadan oluşan arsaların satışını oy çokluğuyla kabul etmişti. Demokrat Partili Meclis Üyesi Mehmet Ali Köfteci’nin katılmadığı, diğer DP’li Üye Celal Tosun’un ‘Çekimser’ kaldığı oylamada, CHP ve İYİ Parti’nin “Ret” vermelerine karşın, AK Parti ve MHP’nin “Evet” oylarıyla söz konusu madde “Oy Çokluğu” ile meclisten geçmişti. Bu doğrultuda Karacabey Belediyesi, mecliste onaylanan karar sonrası 105 parça arsadan 95’inin satışını gerçekleştirmek için açık artırma usulü ihale yapacağını önceki gün gazete ilanıyla ilçe kamuoyuna duyurdu.

Bununla ilgili yapılan bilgilendirmede; “5393 Sayılı Belediye Kanunu’nun 18/e maddesi “Taşınmaz mal alımına, satımına, takasına, tahsisine, tahsis şeklinin değiştirilmesine veya tahsisli bir taşınmazın kamu hizmetinde ihtiyaç duyulmaması hâlinde tahsisin kaldırılmasına; üç yıldan fazla kiralanmasına ve süresi otuz yılı geçmemek kaydıyla bunlar üzerinde sınırlı aynî hak tesisine karar vermek.” meclisin görev ve yetkilerindendir. Bu doğrultuda, mülkiyeti Belediyemize ait taşınmazlar ile ilgili 3194 Sayılı İmar Kanunu’nun geçici 16. maddesi uyarınca ve ‘Yapılacak İşlemler’ konulu 2018/8 nolu genelgeye göre, Belediyemiz mülkiyetindeki taşınmazlar üzerine evveliyatta yapmış oldukları yapılarına Çevre ve Şehircilik Bakanlığı’ndan Yapı Kayıt Belgesi alan vatandaşlarımız ile mahallelerimizde konut yapmak isteyen ve arsa talebinde bulunan vatandaşlarımızın dilekçe ve taleplerine istinaden taşınmazların satılması gündeme gelmiştir.” denildi.

Öte yandan, satışa çıkarılacak köy arazileri için yapılacak ihaleler, 21 Ocak 2020 tarihinde başlayacak ve 24 Ocak’ta sona erecek. Oy çokluğuyla alınan karar sonrası satılmasına karar verilen kırsal mahallelerdeki arsalar şu şekilde belirlendi:


Warning: Undefined variable $user_ID in /home/u2093656/public_html/wp-content/themes/zox-news/comments.php on line 49

You must be logged in to post a comment Login

Leave a Reply

Yanıtı iptal et

Trending

Exit mobile version